New Post

Life Skills for Everyday Success ~xRay Pixy

Image
Life skills are the basic abilities we need to handle daily challenges and live a healthy, balanced life. They help us think clearly, manage our feelings, make good decisions, solve problems, and build good relationships with others. The World Health Organization (WHO) highlights 10 important life skills: 1.) Thinking skills: decision-making, problem-solving, creative thinking, critical thinking 2.) Social skills: communication, empathy, interpersonal skills 3.) Emotional skills: self-awareness, coping with emotions, coping with stress Life skills are the tools that make us stronger, wiser, and calmer in real life — at home, in school, at work, and in the community :) Life Skills for Everyday Success ~xRay Pixy https://youtu.be/AMsUfKRl4kw Video Chapters: Life Skills 00:00 Introduction 01:07 Life Skills 09:42 Real Life Challenge 13:44 Task For You #LifeSkills #SuccessTools #StressFreeLiving #algorithm #optimization #research #happylearning #algorithms #meta #optimizationtechniques #swa...

Optimization Engineering - Design Optimization

 [ CAN Design Optimization using Teaching Learning Based Optimization Algorithm]


PROBLEM STATEMENT: Design a Can to Hold 800ml Liquid.

OBJECTIVE: Minimize the CAN Manufacturing Cost, Minimize Amount of Sheet Metal Required. 

CONSTRAINTS: For Diameter, It should be no greater than 16 cm and no less than 4.0 cm, For Height, It should be no more than 36 cm and no less than 16 cm.
                                                    4.0 <= Diameter <= 16; cm
                                                    16<= Height <= 36; cm

Constraints to HOLD 800ml Liquid Capacity.
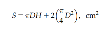
OBJECTIVE FUNCTION: COST Function Used to Solve this problem:
RESULT: AFTER OPTIMIZATION USING TEACHING LEARNING BASED OPTIMIZATION ALGORITHM

Optimal Diameter 4.3679
Optimal Height 34.0069
Best Cost = 207.24

Teaching Learning Based Optimization Algorithm

 | TLBO Numerical Example |

Learn Teaching Learning Based Optimization Algorithm Step-by-Step with Numerical Example.

Teaching Learning Based Optimization Algorithm is based on the effect of Teacher on the Learners in the class. Teaching Learning Based Optimization Algorithm is basically inspired by the behavior of learners in the classroom. In Teaching Learning Based Optimization Algorithm 2 main procedure are followed:

  1. Teaching Phase: Learners study from the Teacher.
  2. Learner Phase: Learners can interact with each other and they can randomly interact with each other.

Comments

Popular Post

PARTICLE SWARM OPTIMIZATION ALGORITHM NUMERICAL EXAMPLE

Cuckoo Search Algorithm for Optimization Problems

Particle Swarm Optimization (PSO)

PSO (Particle Swarm Optimization) Example Step-by-Step

how is the LBP |Local Binary Pattern| values calculated? Step-by-Step with Example

PSO Python Code || Particle Swarm Optimization in Python || ~xRay Pixy

Grey Wolf Optimization Algorithm

Grey Wolf Optimization Algorithm Numerical Example

Bat algorithm Explanation Step by Step with example

Whale Optimization Algorithm Code Implementation || WOA CODE || ~xRay Pixy